- Устойчивое давление при высоких температурах: до 50%
- Термостойкость до 90оС
- Более высокая пропускная способность: до 20%
- Линейное расширение в 3 раза меньше
- Нет необходимости зачистки перед сваркой
- Производство базальтовых волокон основано на получении расплава базальта соответствующего химического состава и разделения его на волокна.
- Очень прочное и гибкое базальтовое волокно с успехом применяется во многих отраслях промышленности и строительства.
- Свойства базальтового волокна значительно превосходят свойства стекловолокна. Например, на разрыв и растяжение прочнее на 20 %.
- Производство базальтовых волокон - экологически чисто и энергетически экономно при 100%-й возможности рециклирования.

FIBER BASALT PLUS – уникальная труба, армированная базальтовым волокном. 3-слойная труба с базальтовым волокном и PP-RCT – полипропиленом нового поколения. FIBER BASALT PLUS применяется для питьевой воды, холодного и горячего водоснабжения и отопления.
Более 3-х лет разработки, тысячи различных испытаний и тестов, десятки тысяч часов измерений. Отличные результаты при тестировании сопротивления FIBER BASALT PLUS давлению – измеренные значения значительно превышают требования стандартов.
Долгосрочная безопасность в эксплуатации, быстрый и несложный монтаж! Секрет трубы FIBER BASALT PLUS состоит в использовании материалов нового поколения: базальтового волокна и полипропилена PP-RCT.

PP-RCT – полипропилен нового поколения!
Долгосрочная надежная эксплуатация даже при самых неблагоприятных условиях температуры и давления:
- выше сопротивление труб давлению и при высоких температурах;
- более высокая и долгосрочная надежность всей системы;
- возможность использования меньшего диаметра, проще обработка и монтаж;
- сохранены все преимущества классического PPR.
4 ключевых свойства нового материала
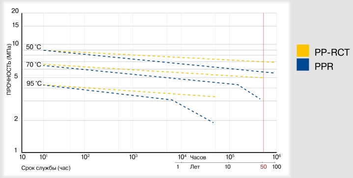
- Кривые длительной прочности этого материала показывают значения, превышающие требования стандартов. Значения давления, температуры и срока эксплуатации находятся в линейной зависимости даже при высоких температурах так же, как у сшитого полиэтилена (PEX) и полибутилена (PB).
- Классификация материала: при измерениях MRS - минимальной требуемой прочности при 20оС и 50-летнем сроке эксплуатации (о LPL) были получены значения 12,68 МПа, поэтому материал следует маркировать как PPR 125 в отличие от прежнего PPR 80.
- Минимальная требуемая прочность при 70оС и 50-летнем сроке эксплуатации (о LPL), превышает значения предписанные нормативными документами для PPR тип 4 и далеко превосходят нормативные значения PPR.
- a-кристаллизация в отличие от b-кристаллизации обеспечивает более высокую стабильность производства. Повышением кристалличности удалось добиться повышенной устойчивости к высоким температурам и давлению при сохранении преимуществ классического PPR.
Диаграмма сроков службы PPR и PP-RCT

Основные черты различия PP-RCT и PP-R
Чем отличается новый тип полипропиленовых труб производителя Wavin Ekoplastik от аналогов? Полипропиленовая система PP-RCT от Ekoplastik состоит из сырья, которое имеет улучшенный кристаллический молекулярный состав. Это позволяет существенно улучшить эксплуатационные характеристики готовой системы отопления и горячего водоснабжения.
Маркировка PP-RCT была определена в соответствии с международным стандартом ISO 1043-1, где буква «R» указывает на структуру полипропилена (рандом сополимер пропилена), буква «С» означает кристаллическую структуру, а символ «T» указывает на улучшенные гидростатические и температурные свойства эксплуатации.
Трубопроводные системы из полипропилена PP-RCT, предназначены для транспортировки холодной и горячей воды, где этот материал показал превосходную устойчивость к высокому давлению при эксплуатации при высоких температурах. Кроме того, благодаря своей исключительной стойкости к растрескиванию, экологичности, система PP-RCT оказалась незаменимой в системах отопления с высоким уровнем коррозионности воды. Выносливость и срок использования системы полипропиленовых труб PP-RCT при высокой температуре воды, по сравнению с обычными трубопроводными системами PP-R, значительно увеличился.
Полипропиленовые трубы из рандом сополимера PP-RCT производства Wavin Ekoplastik рекомендуется использовать для транспортировки питьевой холодной и горячей воды, а также для отопления в квартирах, гостиницах, офисных зданиях, больницах и общественных зданиях.